CLAIMS - Cestui Que Vie Act Of 1666 ACT -CASE 4:22-cv-00528-DCN 12-14-2023 WILLIAM LEROY FAULKNER, Plaintiff, v. LESLIE RAE DECKER, STATE OF IDAHO, U.S. of A., Defendants.
CLAIMS - Cestui Que Vie Act Of 1666 ACT -CASE 4:22-cv-00528-DCN 12-14-2023 WILLIAM LEROY FAULKNER, Plaintiff, v. LESLIE RAE DECKER, STATE OF IDAHO, U.S. of A., Defendants.
Link: https://casetext.com/case/faulkner-v-decker
The case you mentioned is titled William Leroy Faulkner v. Leslie Rae Decker, State of Idaho 1.
It was filed in the United States District Court, District of Idaho on December 27, 2022
The case number is 4:22-cv-00528-DCN
The case was reviewed by the screening JUDGE, David C Nye, who issued an initial review order on December 14, 2023 1.
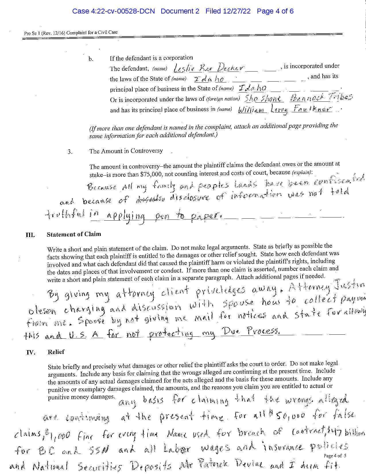
The plaintiff, William Leroy Faulkner, is an inmate at the Idaho State Correctional Center
- The complaint and supplement of the plaintiff were conditionally filed by the Clerk of Court due to his status as a prisoner and pauper
- The complaint alleges that Leslie Rae Decker, a revenue auditor with the Sho Ban Tribe gaming administration, wronged him, though the factual basis of the claims are too vague to discern what happened
- The plaintiff brings his claims under the CESTUI QUE VIE ACT of 1666 and under the Court’s diversity jurisdiction
- The case is still ongoing and NO VERDICT HAS BEEN REACHED YET.






Comments
Post a Comment